Mülakatsız yüzlerce kamu personeli memur alımı başvuru şartları nedir? KPSS tercihleri lisans, ön lisans mezunu...
KPSS tercih kılavuzu ile kamu kurum ve kuruluşları bünyelerine lisans mezunu 1539 memur ve kamu personeli alımı yapacak. İşte alım yapacak kurumlar. ÖSYM Başkanlığı tarafından bugün KPSS 2020/1 tercih kılavuzu yayımlandı. Yayımlanacak tercih kılavuzunda alım yapılacak kadrolar ve başvuru şartlarına yer verilecek. KPSS tercihleri ile yapılacak alımda zabıta memuru ve itfaiye kadroları haricinde yaş şartı aranmayacak. KPSS 2020/1 kapsamında merkezi yerleştirme ile memur olmak isteyen adaylar öncelikle 657 Sayılı Devlet memurları kanunun 48. maddesindeki nitelikleri taşıyor olmaları gerekmektedir.
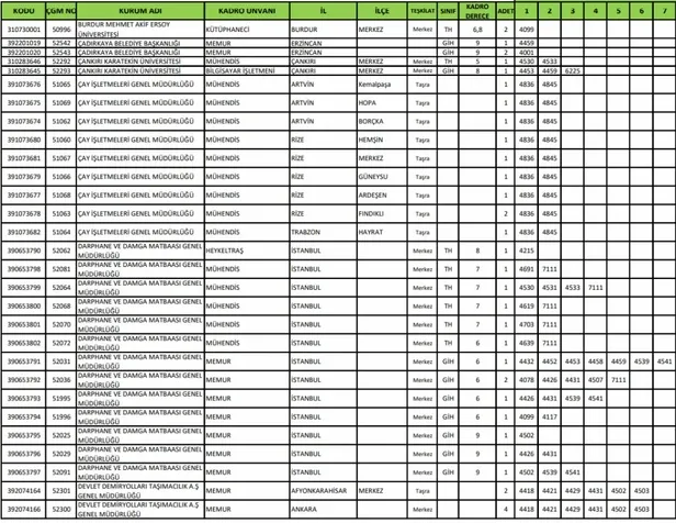
ÖSYM aracılığı ile KPSS tercihleri başladı. Merkezi yerleştirme ile kamuya lise, ön lisans ve lisans mezunu memur alımı yapılacak. Bu kapsamda sizlere bu haberimizde lisans mezunu kadro sayısı ve kadro bilgileri hakkında detayları aktaracağız. Lisans mezunu 1539 kişilik kadro ile memur alımı yapılacak. Alımlar farklı üniversiteler ve kamu kurumları tarafından yapılacak. Lisans mezunları arasından yapılan memur atamasında adaylar ais.osym.gov.tr adresi üzerinden başvurusunu yapacak. Tercihlerini ileten adaylar daha sonra 20 TL olan tercih ücretini anlaşmalı bankalara yatıracak ve başvuru tamamlanmış olacak.

KİMLER TERCİH YAPABİLECEK?
KPSS 2020/1 kapsamında merkezi yerleştirme ile memur olmak isteyen adaylar öncelikle 657 Sayılı Devlet memurları kanunun 48. maddesindeki nitelikleri taşıyor olmaları gerekmektedir. Ayrıca Herhangi bir sosyal güvenlik kurumundan yaşlı veya emekli aylığı almıyor olmak ve KPSS'den lise mezunları için KPSSP94, Ön Lisans mezunları için KPSSP93 ve Lisans mezunları için KPSSP3 puan türünden puan sahibi olmak gereklidir. Ayrıca her kadro ve pozisyon için nitelik kodları bulunuyor. Bu nitelik kodlarında alım pozisyonuna göre mezuniyet şatları bulunmaktadır. Buradaki niteliklere de uygun olmak gereklidir.
KPSS 2020/1 TERCİH KILAVUZU İÇİN TIKLAYIN

LİSANS MEZUNU MEMUR ALIM DETAYLARI:
Lisans mezunu 1539 kişilik kadro ile memur alımı yapılacak. Alımlar farklı üniversiteler ve kamu kurumları tarafından yapılacak. İşte alım yapacak kurumlar:
Bilgisayar işletmeni
Mühendis,
Veri Hazırlama ve Kontrol İşletmeni
Kütüphaneci
Memur
Psikolog
Mimar
Avukat
Veteriner Hekim
Heykeltraş
ARFF Memuru
Apron Memuru
Merkezi satınalma uzman yardımcısı
Bilet kontrol memuru

Sosyal Çalışmacı
Mütercim
Diyetisyen
Şoför
Şehir Plancısı
Zabıta memuru
Programcı
Hemşire
Teknik öğretmen
Sağlık memuru
Denizcilik Sörvey mühendisi

YAŞ SINIRI YOK
ÖSYM Başkanlığı tarafından bugün KPSS 2020/1 tercih kılavuzu yayımlandı. Yayımlanacak tercih kılavuzunda alım yapılacak kadrolar ve başvuru şartlarına yer verilecek. KPSS tercihleri ile yapılacak alımda zabıta memuru ve itfaiye kadroları haricinde yaş şartı aranmayacak.
MÜLAKAT YOK
Merkezi yerleştirmede adayların mezuniyetine ve KPSS puanı ile özel şartlara bakılacak. KPSS puanına göre atamalar yapılacak. Bir kadro için başvuru yapan en yüksek KPSS puanlı aday tercihlerini yapacak. Tercihini yapan adaylar, atama sonrası bir mülakat aşamasına tabi tutulmayacak.
KPSS NEDİR?
Kamu Personeli Seçme Sınavı (KPSS), Kamu kurumlarında görev alacak personeli belirlemek amacıyla ÖSYM tarafından yapılan merkezi sınavın adıdır. Bu sınav sonuçları esas alınarak girilecek mesleğin özelliğine göre farklı alım şekilleriyle kamuya personel istihdam edilir. KPSS'ye ilişkin kural ve koşullar kamu görevlerine ilk defa atanacaklar için yapılacak sınavlar hakkında genel yönetmelikle belirlenmiştir. Bu yönetmelikte A ve B grubu kadro ayrımı yapılmıştır.
MEMUR NASIL OLUNUR?
Devlet memuru olmak birçok vatandaşın hayalidir. Kimi hayaline ulaşmak için gösterdiği çabalar sonrasında devlet memuru olmaya hak kazanırken kimi vatandaşlar ise bu hayalini gerçekleştiremez. Çalışma saatleri, günleri, memura tanınan haklar , izin günleri, aldıkları maaşa kadar çoğu kriter memur olmayı istemeye yeterlidir. 10, 12 saat veya vardiyalı sistemde çalışan diğer mesleklere göre memur saatleri sabah 8, akşam 4 ya da sabah 9, akşam 5 gibi olması memurluğu tercih etmeye en önemli faktördür. Hafta sonlarının tatil olması, yıllık izinler ve resmi tatiller devlet memuru avantajları arasında yer alır.
Memurluk dışında başka işlerde çalışan kişilerin işveren tarafından işine son verilmesi durumunda çalışan kişinin ilerleyen yılları için planlama yapmasını zorlaştırırken devlet memurluğu yapanlar kolaylıkla işten çıkartılma, kovulma durumu yaşamazlar. Memurluğun gerektirdiği şekilde iş hayatlarını sürdürmeleri gerekir. Yüz kızartıcı suç işlenmez ise memuriyet hayatınıza emekli olana kadar devam ettirebilirsiniz.



