En az ilkokul mezunu İŞKUR TYP personel alımı başvuru şartları ortaya çıktı: TYP alımı yapılacak KPSS şartsız kadrolar
İŞKUR, Toplum Yararına Programlar (TYP) çerçevesinde, Türkiye'nin farklı bölgelerinden İstanbul, Diyarbakır, Mardin, Manisa, Karaman, Kırşehir, Zonguldak ve Şırnak olmak üzere 8 şehirde en az ilkokul mezunu bireyler için personel alımı yapacağını açıkladı. Bu girişim, iş arayan vatandaşlar için yeni bir istihdam fırsatı sunarken, bireysel ve toplumsal anlamda önemli faydalar sağlama potansiyeline sahip. İŞKUR'un TYP kapsamında gerçekleştireceği bu personel alımı, eğitim seviyesi ne olursa olsun herkesin iş bulma imkanını artırıyor ve toplumun farklı kesimlerine ekonomik katkıda bulunmayı amaçlıyor. Bu program, iş arayanlara yönelik umut verici bir adım olarak, geniş bir yelpazede istihdam olanakları sunuyor.

TYP kapsamında gerçekleşecek işçi alımları, çeşitli sektörleri ve alanları kapsayacak şekilde planlanmıştır. Bu alımlar genellikle kamu kurum ve kuruluşlarında, çevre temizliği, park ve bahçe düzenlemesi, kamu binalarının bakımı ve onarımı gibi topluma hizmet eden birçok farklı projede gerçekleşecektir. Ayrıca, bazı programlar eğitim, sağlık ve sosyal hizmetler gibi alanlarda da iş imkanları sunabilir. İŞKUR tarafından yayımlanan ilanlarda, 5 bin 460 kişinin istihdam edileceği bilgisi paylaşıldı. Bu alımlar, ilgili kaymakamlık ve valilikler bünyesinde gerçekleştirilecek. Bu geniş çaplı istihdam hamlesi, birçok kişinin iş hayatına adım atması için büyük bir fırsat sunuyor.
İŞKUR TYP Başvuru Şartları
TYP işçi alımına başvuracak adaylarda aranan şartlar şunlardır:
Türkiye Cumhuriyeti vatandaşı olmak,
İŞKUR'a kayıtlı olmak,
18 yaşını tamamlamış olmak,
SGK'ya bildirilmiyor olmak ve sigortalı olmamak veya sigortalı sayılmamak,
Emekli ve malul aylığı almıyor olmak,

Öğrenci olmamak (açıköğretim öğrencileri hariç),
Aile bireylerinin toplam gelirinin, asgari ücretin 1,5 katını aşmaması,
Aynı adreste ikamet edenlerden yalnızca birinin başvurabilmesi.
İŞKUR TYP Başvuru Süreci
TYP işçi alımı başvuruları, İŞKUR'un elektronik şubesi üzerinden yapılmaktadır. Başvuru yapmak isteyen adayların esube.iskur.gov.tr adresine giderek, ilanlara başvuru yapmaları gerekmektedir. Başvuru sürecinde, adayların yukarıda belirtilen şartları taşıyıp taşımadıklarını kontrol etmeleri ve ilgili evrakları hazırlamaları önem taşır.
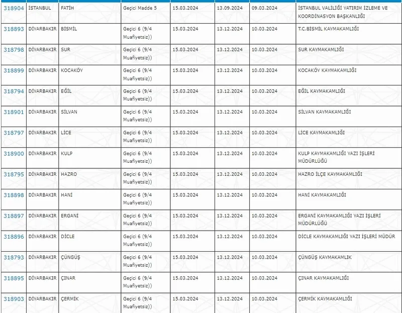
İşte KPSS Şartsız TYP Alımı Yapılacak Kadrolar!

İşte KPSS Şartsız TYP Alımı Yapılacak Kadrolar!

İşte KPSS Şartsız TYP Alımı Yapılacak Kadrolar!

İşte KPSS Şartsız TYP Alımı Yapılacak Kadrolar!

İşte KPSS Şartsız TYP Alımı Yapılacak Kadrolar!






