SON DAKİKA: İstanbul Ümraniye'de bir bölge "riskli alan" ilan edildi
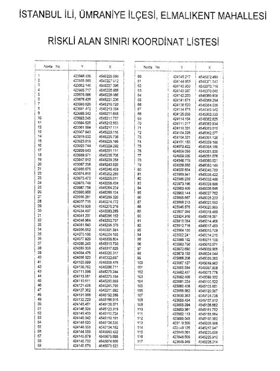
Son dakika haberine göre, İstanbul'un Ümraniye ilçesindeki bir bölgenin "riskli alan" ilan edilmesi kararlaştırıldı. Kararda, riskli alan ilan edilen yerin krokisi, sınır ve koordinatları da yer aldı.
Giriş Tarihi: Güncelleme Tarihi:
İstanbul'un Ümraniye ilçesindeki bir bölgenin "riskli alan" ilan edilmesi kararlaştırıldı.

Resmi Gazete'de yayımlanan Cumhurbaşkanı Kararına göre, İstanbul'un Ümraniye ilçesi Elmalıkent Mahallesi sınırları içinde bulunan bölgenin, riskli alan ilan edilmesine karar verildi.
Kararda, riskli alan ilan edilen yerin krokisi, sınır ve koordinatları da yer aldı.

