TOKİ'den 35 bin ve 110 bin liradan başlayan fiyatlarla evler...
TOKİ'nin 11 şehirde en ucuzu 110 bin TL olan evleri ve başvuru bilgileri. TOKİ Başkanlığı 1+1, 2+1, ve 3+1 konut satışı için yeni duyurular yayımladı. Türkiye geneli çok sayıda şehir için yayımlanan bu duyurularda vatandaşların uygun ödeme koşulları ile alabileceği yeni daireler bulunuyor.

TOKİ vatandaşları ucuz konut sahibi yapmaya devam ediyor. Bu anlamda TOKİ asgari ücretle çalışanlar ve dar gelirliler için projeleri sitesinden açıklıyor. Vatandaşlar bu yeni listelerde yer alan konutlardan almak istediklerinde herhangi bir kura veya çekilişe dahil olmuyorlar. Satışlar başvuru önceliğine göre yapılıyor ve önce başvuruda bulunan istedikleri evi alabiliyorlar. İşte son dakika haberleri ve detaylar takvim.com.tr'de
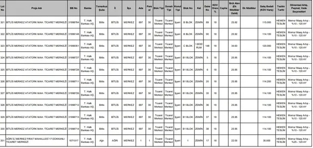
TOKİ'DEN 35 BİN LİRADAN BAŞLAYAN FİYATLARLA SATILIK İŞYERİ
14 Ekim 2020 Çarşamba günü saat 11:00 itibari ile Ankara Bilkent Otel ve Konferans Merkezi ile TOKİ İstanbul Hizmet Binası'nda yapılacak.


EMEKLİ, ASGARİ ÜCRETLİ, DAR GELİRLİLER
TOKİ'den yapılan açıklamada evlerin dar gelirliler için satışa sunulduğuna yer verildi. Dar gelirli olan vatandaşların, belirtilen tarihler arasında başvurusunu yapması gerektiği bildirildi.
TOKİ evlerine başvuru yapacaklarda aranan şartlar ise şu şekilde:
- T.C. vatandaşı olması,
- Başvurulan projenin bulunduğu il sınırları içerisinde 1 (bir) yıldan az olmamak koşulu ile ikamet ediyor olması veya il nüfusuna kayıtlı olması,
- Başvuru sahibinin kendisinin, eşinin ve velayeti altındaki çocuklarının Toplu Konut İdaresinden konut satın almamış olması ve tapuda kayıtlı kat irtifaklı/kat mülkiyetli bağımsız bir bölümün veya müstakil konutunun bulunmaması (tarla, bağ, bahçe, köyevi ve işyeri hariç)
- Başvuru tarihi itibariyle 25 yaşını doldurmuş olması gerekmekte olup, ancak, eşi vefat etmiş olan çocuklu dul bayanlarda yaş şartı aranmamaktadır.
- Aylık hane halkı gelirinin, en fazla net 5.500.00 TL olması, (Başvuru sahibinin, eşinin ve velayeti altındaki çocuklarının gıda, yol, vs. her türlü aldıkları yardımlar dahil olmak üzere toplam hane halkı aylık net gelirinin en fazla 5.500.00 TL olması gerekmektedir.)
Evler için ödeme planları şu şekilde:

BAŞVURU
T. Halk Bankası Aġ. Tüm ġubeleri ve E-Devlet üzerinden başvurulabilir. E Devlet üzerinden başvurular , aşağıdaki sayfadan yapılmaktadır.
https://www.turkiye.gov.tr/toplu-konut-idaresi-baskanligi-toki

