
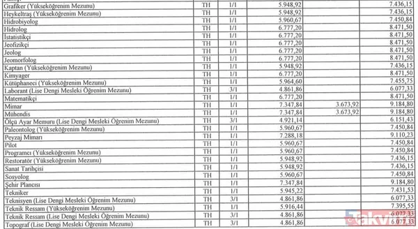
Milyonlarca memur ve memur emeklisine 2.5 puanlık ilave zammın Resmi Gazete'de yayımlanarak yürürlüğe girmesinin ardından, Hazine ve Maliye Bakanlığı da hızla harekete geçerek memur maaş katsayılarıyla ilgili yeni maaş genelgesini yayımladı.

Aylık katsayısı 0,235445, memuriyet taban aylığı göstergesine uygulanacak taban aylık katsayısı 3,68518 olarak belirlendi.

2 ÇOCUKLUYA 770 TL
Memur ve emekliye ek zammı içeren yasal düzenlemeyle birlikte aylık ve ücretlerde 1 Ocak-30 Haziran dönemi için uygulanacak artış oranı yüzde 5'ten yüzde 7.5'e yükseltildi.

Yüzde 5 zam ve enflasyon farkıyla yüzde 27.9 olan Ocak zammı, böylece yüzde 30.95'e ulaştı.

Zam, memurların maaşlarının yanı sıra aile yardımlarına da yansıdı.


















