TOKİ resmen duyurdu: 2+1 ve 3+1 daire satılacak! Aylık 13.285 TL taksit, peşinat ise...
Toplu Konut İdaresi Başkanlığı (TOKİ), dar gelirli vatandaşlara uygun koşullarda ev sahibi olma fırsatı sunmaya devam ediyor. Türkiye'nin birçok şehrinde olduğu gibi, Bolu Göynük'te de yeni bir konut projesini hayata geçiriyor. Bu proje kapsamında, uygun ödeme planlarıyla 2+1 ve 3+1 daireler satışa sunulacak. İşte proje detayları ve başvuru şartları!

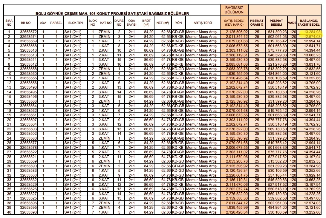
Bolu Göynük'te başlatılan proje kapsamında, toplamda 106 adet konut için satış süreci başladı. Konutların fiyatları, uygun ödeme koşullarıyla her bütçeye hitap edebilecek şekilde belirlendi. Projede yer alan daireler, memur maaş artış oranına bağlı taksitlendirme ile vatandaşlara kolaylık sağlıyor.

Satışa Sunulan Konutların Özellikleri
Projede yer alan daireler, modern ve konforlu bir yaşam için tasarlandı. Öne çıkan özellikler:
2+1 daireler: 84,29 m² - 86,69 m² arasında değişen büyüklüklerde.
Ödeme planı: %25 peşinat ve 120 ay vadeli taksit imkânı.
Taksit tutarları: 12.121 TL'den başlayan fiyatlarla, memur maaş artışı oranına bağlı olarak yılda iki kez güncellenecek.

Ödeme Planı ve Sözleşme Detayları
Satışa sunulan daireler için:
Borç bakiyesi ve aylık taksit tutarları, yılda iki kez (Ocak ve Temmuz aylarında) memur maaş artış oranına göre güncellenecek.
Başvuru bedeli: 1000 TL - 2000 TL arasında değişiyor.
Başvuru yapılacak yerler: TC. Ziraat Bankası A.Ş. Göynük Şubesi ve diğer Ziraat Bankası şubeleri.

Başvuru ve Kura Detayları
Bolu Göynük konut projesi için başvurular 25 - 29 Kasım 2024 tarihleri arasında alınacak. Başvuruda bulunmak isteyenler, başvuru bedelini belirtilen banka şubelerine yatırarak işlemlerini gerçekleştirebilir.
- Kura tarihi: 6 Aralık 2024
- Sözleşme tarihleri:
- Asil hak sahipleri: 16 - 20 Aralık 2024
- Yedek hak sahipleri: 25 - 26 Aralık 2024

TOKİ Konutlarına Başvuru Şartları
Türkiye Cumhuriyeti vatandaşı olmak.
Başvuru sahibinin kendisi, eşi veya velayeti altındaki çocuklarının adına kayıtlı bir konut olmaması.
Gelir sınırlarına uygun olmak (genellikle dar gelirli vatandaşlara yönelik sınırları kapsar).

TOKİ'nin dar gelirli vatandaşlara yönelik sunduğu bu avantajlı proje ile Bolu Göynük'te ev sahibi olmak artık çok daha kolay.

İşte sözleşme detayları
BOLU İLİ, GÖYNÜK İLÇESİ, ÇEŞME MAHALLESİ, 106 ADET KONUT
SATIŞ DUYURUSU/ÖN BİLGİLENDİRME FORMU

Başvurular 1 kategoride kabul edilecektir;

Başvuru Yapamayacak Olanlar;


