18-19 Ağustos'ta hangi sınavlar var? ÖSYM, MEB 2021-2021 sınav takvimi! Bu hafta sonu sınav var mı?
Hafta sonuna az bir süre kala milyonlarca kişi bu hafta sonu Cumartesi ve Pazar günü ÖSYM'nin ve ya MEB'in sınavlarının olup olmadığını araştırmaya koyuldu. Neredeyse her hafta sonu ÖSYM'nin en az bir sınavı uygulanıyor. Peki Bu hafta sonu sınav var mı? 18-19 Ağustos'ta hangi sınavlar var? ÖSYM, MEB 2021-2021 sınav takvimi yayınlandı. Takvime göre ÖSYM'nin bu hafta sonunda uygulanacak sınavı bulunuyor. ÖSYM Başkanı Halis Aygün sınav giriş belgelerinin yayınlandığını duyurdu. İşte detaylar...
Hafta sonunun yaklaşmasıyla ÖSYM ve MEB'in sınav takvimi yeniden merak edilmeye başlandı. 2021-2022 sınav takvimi açıklandı. MEB ve ÖSYM'nin sınav takvimine göre Hafta sonu sınav var mı? 18-19 Ağustos'ta hangi sınavlar var? sorularının yanıtları belli oldu. Bu hafta sonu ÖSYM'nin sınavı uygulanacak. İşte ÖSYM, MEB 2021-2021 sınav takvimi ve bu hafta sonu uygulanacak olan sınavlara ilişkin tüm bilgiler...
BU HAFTA SONU SINAV VAR MI?
19 Eylül 2021 tarihinde Ölçme Seçme ve Yerleştirme Merkezi (ÖSYM) tarafından bir sınav uygulanacak.

18-19 AĞUSTOS'TA HANGİ SINAV VAR?
18 Ağustos Cumartesi günü herhangi bir sınav yoktur. 19 Ağustos Pazar günü ise ALES sınavı gerçekleştirilecek. Akademik Personel ve Lisansüstü Eğitimi Giriş Sınavına (2021-ALES/2) giriş belgeleri erişime açıldı.
ALES 2 GİRİŞ BELGESİ NASIL ALINIR?
Adaylar, ALES 2 sınava girecekleri yer bilgisini gösteren Sınava Giriş Belgesini, ÖSYM'nin https://ais.osym.gov.tr internet adresinden T.C. Kimlik numaraları ve aday şifreleri ile edinebilecekler. 19 Eylül 2021 tarihinde uygulanacak olan 2021-ALES/2 için adaylar, saat 10.00'dan sonra sınav binalarına alınmayacaklar.
TEMEK KURALLAR İÇİN TIKLAYINIZ

PAZAR GÜNÜ AÇIK TUTULACAK NÜFUS MÜDÜRLÜKLERİ HANGİLERİ?
ALES'in uygulanacağı 19 Ağustos Pazar günü açık tutulacak nüfus müdürlükleri duyuruldu.
Sınava girecek adaylardan, T.C. Kimlik Kartını kaybeden, T.C. Kimlik Kartında fotoğrafı bulunmayan, nüfus cüzdanı olmayan veya nüfus cüzdanında T.C. Kimlik Numarası, fotoğraf, soğuk damga bulunmadığı için sınava kabul edilmeyecek durumda olanlar için sınav yapılacak merkezlerdeki ekte sunulan İl/İlçe Nüfus Müdürlükleri, İçişleri Bakanlığı Nüfus ve Vatandaşlık İşleri Genel Müdürlüğünce 19 Eylül 2021 Pazar günü 07.00- 10.00 saatleri arasında açık tutulacak ve söz konusu Müdürlüklere başvuran adaylara, müdürlük personeli tarafından fotoğraflı, imzalı-mühürlü, barkodlu-karekodlu veya fotoğraflı, barkodlu-karekodlu "Geçici Kimlik Belgesi" düzenlenecektir.

Bu amaçla sınav günü Nüfus Müdürlüğüne başvuran adaylar, Nüfus Müdürlüğü personeli ile birlikte ÖSYM'nin https://ais.osym.gov.tr internet adresinde yer alan ilgili sınavın başvuru bilgilerine T.C. Kimlik Numaraları ve aday şifreleri ile erişebileceklerdir. Nüfus Müdürlüğü personelince adayın bilgilerinin kontrolü yapılarak adaya fotoğraflı, imzalı-mühürlü, barkodlu-karekodlu veya fotoğraflı, barkodlu-karekodlu "Geçici Kimlik Belgesi" düzenlenecektir. Adaylar, Nüfus Müdürlüklerince düzenlenen fotoğraflı, imzalı-mühürlü, barkodlu-karekodlu veya fotoğraflı, barkodlu-karekodlu Geçici Kimlik Belgeleri ile sınava girebileceklerdir. "Geçici Kimlik Belgesi" dışında verilen belge, form vb. sınava giriş için kabul edilmeyecektir. Bu amaçla, Nüfus Müdürlüğüne başvuran adayın, ilgili sınavın Sınava Giriş Belgesi ve biyometrik fotoğrafının yanında olması gerekmektedir.
Adaylar, sınav günü açık tutulacak İl/İlçe Nüfus Müdürlüklerinin adresine ve açık oldukları saatlere aşağıdaki bağlantıdan erişebilecekler.
07.00-10.00 SAATLERİ ARASINDA AÇIK OLACAK İL/İLÇE NÜFUS MÜDÜRLÜKLERİ
ALES 2 SINAVI KAÇ SORU, KAÇ DAKİKA?
ALES 2 sınavında sayısal ve sözel testler uygulanacaktır. Sınav, saat 10.15'te başlayacak ve cevaplama süresi 150
dakika (2,5 saat) olacaktır.
ALES 2 KILAVUZU İÇİN TIKLAYINIZ
ALES PUAN HESAPLAMA NASIL YAPILIR?
Çoktan seçmeli sorulardan oluşan testlerin uygulandığı bu sınavın cevap kâğıtları ÖSYM'de optik okuyucu ile okunacak ve bilgisayar ortamında değerlendirilecektir. Adayların her testteki sorulara verdikleri doğru ve yanlış cevaplar ayrı ayrı toplanacak, doğru cevap sayısından yanlış cevap sayısının dörtte biri çıkarılarak ham puanlar elde edilecektir. Her test için sınavı geçerli tüm adayların ham puanlarının ortalaması ve standart sapması ayrı ayrı hesaplanarak adayların ham puanları, ortalaması 50, standart sapması 10 olan standart puanlara dönüştürülecektir. Böylece her aday için Sayısal ve Sözel Standart Puanlar (SP) hesaplanacaktır. Bu standart puanlar kullanılarak her aday için sayısal ağırlıklı, sözel ağırlıklı ve eşit ağırlıklı olmak üzere 3 ağırlıklı puan (AP) hesaplanacaktır.
Ağırlıklı puanların hesaplanmasında testlerin ağırlıkları aşağıdaki gibi olacaktır:

Sınavdan sonra ÖSYM Başkanlığı veya yargı mercileri tarafından iptaline karar verilen sorular değerlendirme dışı bırakılarak geçerli soruların puan değerinin yeniden saptanması suretiyle puanlama yapılacaktır.
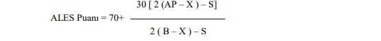
Ağırlıklı puanlar hesaplandıktan sonra bu puanlar, aşağıdaki formül kullanılarak 100 üzerinden puanlara dönüştürülecektir.

ALES : Akademik Personel ve Lisansüstü Eğitimi Giriş Sınavı
AP : Adayın ağırlıklı puanı
X : Ağırlıklı puanların ortalaması
S : Ağırlıklı puanların standart sapması
B : Ağırlıklı puanların en büyüğü
ALES 2 SINAV SONUÇLARI NE ZAMAN AÇIKLANIR?
Sonuçların ne zaman açıklanacağı henüz belli olmadı. Resmi açıklama geldiğinde haberimizde yer verilecektir. Adaylar sınav sonuçlarını, T.C. Kimlik/Y.U. Numaraları ve şifreleri ile ÖSYM'nin https://sonuc.osym.gov.tr internet adresinden, mobil uygulamalarından öğrenebileceklerdir. Sınav sonuç belgesi basılmayacak ve adayların adreslerine gönderilmeyecektir. İnternet sayfasındaki duyurular, sonuç bilgileri adaylara tebliğ hükmündedir.