TOKİ 9.703 taksit + 388 bin TL peşinatla 3+1 konut alımı başvuru duyurusu geldi! 18-31 Aralık ucuza ev satışları başladı!
TOKİ güncel konut satışlarına devam ediyor. Takvim.com.tr ekibi olarak bizler de yeni TOKİ konut satış duyurularına haberimizde yer veriyoruz. Toplu Konut İdaresi Başkanlığı son olarak 3+1 daireleri 9.703 TL'den başlayan başlangıç taksit bedeliyle satışa çıkardı. Kuralı satışla teslim edilecek konutlar için başvurular 22 Aralık'a kadar devam edecek. İşte güncel TOKİ 18-31 Aralık konut satış duyuruları...

Aralık ayı güncel TOKİ konut satışları ediyor. TOKİ'nin resmi internet sitesi olan https://www.toki.gov.tr/ adresinden güncel konut satış duyuruları yer alıyor. Her ay 81 il içerinden başlattığı projeler kapsamında 2+1, 3+1 daireleri kuralı satış yöntemi ya da açık arttırma yöntemi ile satışa çıkaran Toplu Konut İdaresi Başkanlığı (TOKİ) Ocak ayının yaklaşmasıyla Aralık ayının son duyuruları yaptı. Ev sahibi olmak isteyen vatandaşlar 11 Aralık 2023 - 22 Aralık 2023 tarihleri arasında başvuruda bulunabilecek. Başvuru bedeli olarak 2000 TL talep ediliyor. Kura 27 Aralık 2023 tarihinde çekilecek. İşte güncel TOKİ konut satış duyuruları ve diğer detaylar...
TOKİ GÜNCEL KONUT SATIŞLARI
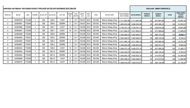
ANKARA HAYMANA 185/100000 KONUT PROJESİ
Satış Türü:Kuralı Satış
Başvuru Dönemi:11.12.2023 - 22.12.2023
Kura Tarihi:27.12.2023



TOKİ ANKARA KONUT SATIŞI FİYAT LİSTESİ

